Pengertian Induktor Cara kerja Serta Contoh Rumusnya
Seperti yang telah kita pelajari tentang kapasitor dan resistor, sekarang kita akan pelajari mengenai Pengertian Induktor Cara kerja Serta Contoh Rumusnya.
Induktor adalah elemen pasif yang dirancang untuk menyimpan energi dalam medan magnetnya.
Induktor dapat di temukan pada banyak aplikasi dalam sistem elektronik dan tenaga Listrik.
Induktor digunakan dalam catu daya, transformer, radio, TV, radar, dan motor listrik.
Pengertian Induktor dan Simbol
Setiap konduktor arus listrik memiliki sifat induktif dan dapat dianggap sebagai induktor.
Tetapi untuk meningkatkan efek induktif, induktor praktis biasanya dibentuk menjadi kumparan silinder dengan banyak lilitan kawat penghantar, seperti yang ditunjukkan pada Gambar.(1).
Induktor terdiri dari kumparan kawat penghantar.
Jika arus dibiarkan melewati sebuah induktor, diketahui bahwa tegangan yang melintasi induktor berbanding lurus dengan laju perubahan arus terhadap waktu.
Dengan menggunakan konvensi tanda pasif,
di mana L adalah konstanta proporsionalitas yang disebut induktansi induktor.Satuan induktansi adalah henry (H), dinamai untuk menghormati penemunya yaitu Joseph Henry (1797-1878).
Jelas dari Persamaan.(1) bahwa 1 henry sama dengan 1 volt-detik per ampere.
Induktansi adalah properti di mana sebuah induktor menunjukkan perlawanan terhadap perubahan arus yang mengalir melaluinya, diukur dalam henry (H).
Nilai induktansi induktor tergantung pada dimensi fisik dan konstruksinya.
Rumus untuk menghitung induktansi induktor dari berbagai bentuk diturunkan dari teori elektromagnetik.
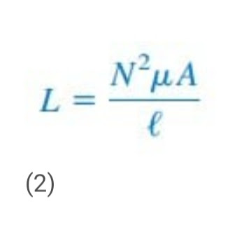
Misalnya, untuk induktor, (solenoid) ditunjukkan pada Gambar.(1),
di mana N adalah jumlah lilitan, adalah panjang, A adalah luas penampang, dan adalah permeabilitas inti.Seperti kapasitor, induktor yang tersedia secara komersial memiliki nilai dan jenis yang berbeda.
Induktor praktis yang khas memiliki nilai induktansi mulai dari beberapa mikrohenry ( H), seperti dalam sistem komunikasi, hingga puluhan henry (H) seperti dalam sistem tenaga.
Induktor mungkin tetap atau variabel. Inti dapat dibuat dari besi, baja, plastik, atau udara.
Istilah coil dan choke juga digunakan untuk induktor, Contoh Induktor ditunjukkan pada Gambar. (2).
Berbagai jenis induktor: (a) induktor luka solenoida, (b) induktor toroidal, (c) induktor timbal aksial.Simbol rangkaian untuk induktor ditunjukkan pada Gambar.(3), mengikuti konvensi tanda pasif.
Persamaan.(1) adalah hubungan tegangan-arus untuk sebuah induktor. Gambar. (4) menunjukkan hubungan ini secara grafis untuk induktor yang induktansinya tidak tergantung pada arus. Induktor semacam itu dikenal sebagai induktor linier.Untuk induktor nonlinier, plot Persamaan.(1) tidak akan menjadi garis lurus karena induktansinya bervariasi dengan arus. Hubungan arus-tegangan diperoleh dari Persamaan.(1)Mengintegrasikan memberi
Ataudi mana i(t0) adalah arus total untuk < t < t0 dan i(−∞) = 0. Gagasan untuk membuat i(−∞) = 0 praktis dan masuk akal karena pasti ada waktu tidak ada arus di induktor.Induktor dirancang untuk menyimpan energi dalam medan magnetnya. Energi yang tersimpan dapat diperoleh dari Persamaan.(1). Daya yang dikirim ke induktor adalah
Energi yang tersimpan adalahKarena i(-∞) = 0,Kita harus memperhatikan sifat-sifat penting berikut dari sebuah induktor.1. Perhatikan dari Persamaan.(1) bahwa tegangan pada sebuah induktor adalah nol ketika arusnya konstan. Dengan demikian, Induktor bertindak seperti hubung singkat ke dc.
2. Sifat penting dari induktor adalah penentangannya terhadap perubahan arus yang mengalir melaluinya. Arus melalui induktor tidak dapat berubah secara instan.
Menurut Persamaan.(1), perubahan arus yang terputus-putus melalui induktor membutuhkan tegangan tak terbatas, yang secara fisik tidak mungkin.
Jadi, sebuah induktor menentang perubahan mendadak pada arus yang melaluinya. Sebagai contoh, arus yang melalui sebuah induktor dapat mengambil bentuk yang ditunjukkan pada Gambar.(5a), sedangkan arus induktor tidak dapat mengambil bentuk yang ditunjukkan pada Gambar.(5b) dalam situasi kehidupan nyata karena diskontinuitas. Namun, tegangan melintasi induktor dapat berubah secara tiba-tiba.
3. Seperti kapasitor ideal, induktor ideal tidak membuang energi. Energi yang tersimpan di dalamnya dapat di gunakan kembali di lain waktu.4. Sebuah induktor nonideal praktis memiliki komponen resistif yang signifikan, seperti yang ditunjukkan pada Gambar. (6). Hal ini disebabkan oleh fakta bahwa induktor terbuat dari bahan penghantar seperti tembaga, yang memiliki beberapa hambatan.
Resistansi ini disebut resistansi belitan Rw, dan muncul secara seri dengan induktansi induktor. Kehadiran Rw menjadikannya perangkat penyimpanan energi dan perangkat disipasi energi. Karena Rw biasanya sangat kecil, dalam banyak kasus diabaikan.Induktor nonideal juga memiliki kapasitansi lilitan Cw karena adanya kopling kapasitif antara kumparan penghantar.
Cw sangat kecil dan dapat diabaikan, kecuali pada frekuensi tinggi.
Contoh Persamaan Induktor
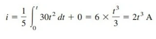
1. Arus yang melalui induktor 0,1-H adalah i(t) = 10te 5t A. Temukan tegangan melintasi induktor dan energi yang tersimpan di dalamnya. Penyelesaian: Karena v = L di∕dt dan L = 0,1 H,
Energi yang tersimpan adalah2. Temukan arus yang melalui induktor 5 H jika tegangan yang melintasinya adalah
Juga, cari energi yang tersimpan pada t = 5 s. Asumsikan i(v) > 0.Penyelesaian:
KemudianDaya p = vi = 60t5, dan energi yang tersimpan adalahAtau, kita dapat memperoleh energi yang tersimpan menggunakan Persamaan.(7), dengan menulisseperti yang diperoleh sebelumnya.3. Perhatikan rangkaian pada Gambar.(7a). Di bawah kondisi dc, temukan:
(a) i, vC, dan iL,
(b) energi yang tersimpan dalam kapasitor dan induktor.
Penyelesaian: (a) Pada kondisi dc, kapasitor diganti dengan rangkaian terbuka dan induktor dengan hubungan pendek, seperti pada Gambar. (7b). Hal ini terbukti dari Gambar. (7b) bahwaTegangan vC sama dengan tegangan pada resistor 5-Ω. Karenanya,
(b) Energi dalam kapasitor adalahdan dalam induktor adalah



























Belum ada Komentar untuk "Pengertian Induktor Cara kerja Serta Contoh Rumusnya"
Posting Komentar